為何有些首次發作精神病症患者,對藥物治療反應較差?──來自多體學研究的分子線索
2026/02 游舜淳博士、王韻筑碩士畢業生、陳為堅特聘研究員
抗精神病藥物 (antipsychotics) 是治療精神病症疾患 (psychotic disorders) 的第一線治療方式。然而,即使是在疾病初期、剛開始接受治療的首次發作精神病症(first-episode psychosis, FEP)患者之中,對藥物的反應仍然存在顯著差異。約有三成的患者在接受常規治療後,症狀改善仍然有限。這樣的病患間差異,長期以來困擾著臨床醫師與研究人員:究竟是什麼原因,使部分患者較容易出現治療反應不佳的情形?
過去這方面的研究多半著重於臨床特徵,如發病年齡、未治療病程長短、或家族史等,但這些指標對個別患者的預測能力有限。近年來,隨著分子生物學與轉譯醫學的發展,研究人員開始關注更基礎的生物機制,特別是基因調控網絡是否與治療反應相關。由陳為堅特聘研究員/名譽教授所領導的跨院校團隊進行了一項結合微小核糖核酸(microRNA, miRNA)與RNA定序的多體學研究,透過創新的蒐尋策略,從分子層級找到與抗精神病藥物治療反應不佳相關的一些潛在生物標記。這項研究成果已在今年2月4日發表於國際期刊Brain, Behavior, & Immunity – Health。


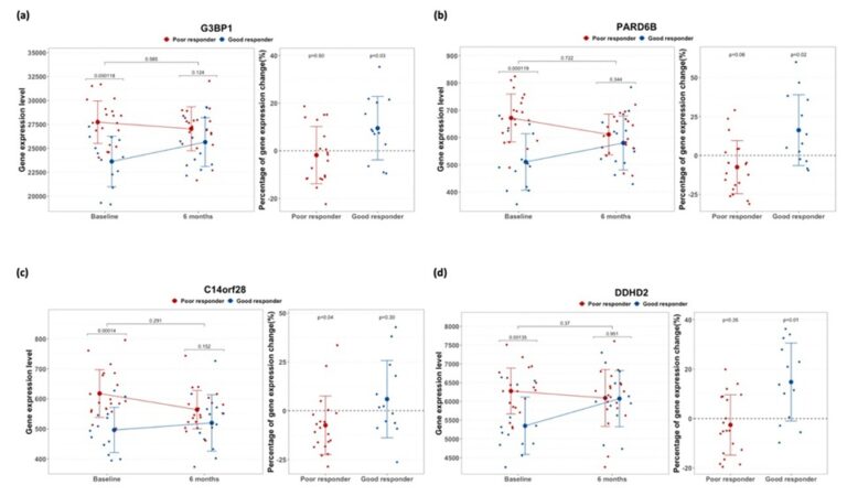
圖一、目標基因在基線與6個月追蹤時之表現量散佈圖,以及治療反應不佳者(N = 20)與治療反應良好者(N = 13)的表現變化百分比。
本研究納入41位首發精神病症患者,所有受試者在研究開始時皆未接受治療或僅短期使用抗精神病藥物。研究團隊於病患納入研究的基線抽取周邊血液單核細胞,並在六個月後再次評估症狀改善情形。根據正負性症狀量表(Positive and Negative Syndrome Scale, PANSS)總分是否改善達20%以上,將患者分為治療反應良好者與治療反應不佳者。首先進行全基因體層級的微小核糖核酸表現分析。微小核糖核酸是一類不會轉譯為蛋白質的小分子RNA,但能調控數十到上百個基因的表現,被視為重要的基因表現調節因子。研究團隊比較兩組患者在基線的微小核糖核酸差異。由於微小核糖核酸會進一步調控下游基因,研究人員接著利用RNA定序(RNA-seq)分析相關目標基因的表現,並觀察這些基因從基線到6個月追蹤的變化,嘗試描繪從微小核糖核酸調控、基因表現、到臨床療效之間的生物路徑。
研究結果顯示,在治療反應不佳的患者中,兩個微小核糖核酸,miR-34a-5p與miR-299-5p,在基線的表現量即顯著低於治療反應良好的患者,顯示這些分子差異在納入研究前即已存在。進一步分析發現,這兩個微小核糖核酸所調控的多個下游基因在基線的表現,在治療反應不佳者中呈現較高的表現量。研究團隊最終篩選出8個關鍵目標基因,這些基因多與神經發育、突觸功能、免疫調節及粒線體能量代謝等重要生物路徑相關。例如,G3BP1參與細胞壓力反應與RNA調控,PARD6B與神經細胞極性與突觸組織有關,而SLC25A4則涉及粒線體功能與能量代謝,對神經細胞的適應與可塑性具有重要影響。
在比較基因表現隨時間到6個月追蹤的變化時,研究人員發現兩組患者呈現不同的分子變化軌跡。圖一顯示八個目標基因在基線與六個月追蹤的表現情形。其中G3BP1、PARD6B、DDHD2和SLC25A4這幾個基因,治療反應不佳者在基線時即具有較高的基因表現量,且在六個月後多數基因仍維持相似或僅輕微下降;相較之下,治療反應良好的患者則出現較明顯的表現量下降。若以基因表現變化幅度來看,反應良好者整體呈現較大的調整程度,而反應不佳者則變化有限。這種持續維持較高表現量且變化幅度有限的分子表現模式,顯示部分患者在細胞層級對治療刺激的反應能力較差,可能與臨床療效較差有關。
整體而言,本研究顯示抗精神病藥物治療反應的差異,可能在治療開始之前,就已反映於微小核糖核酸與基因表現的調控路徑中。值得注意的是,這些差異並非主要集中在傳統認知中的神經傳導物質路徑,而是涉及更廣泛的神經可塑性、細胞代謝與免疫相關機制。這些發現對精神醫學研究與臨床實務具有重要意義。一方面,這些相關分子表現偏差有潛力作為早期生物標記,協助辨識較可能出現治療反應不佳的患者;另一方面,也提示治療反應差異可能反映個體在分子與細胞調控能力上的差異,為未來發展更精準的治療策略提供新的方向。
全文出處:
Yu S-C, Wang Y-C, Lin H-P, Jen Y-W, Hwang T-J, Liu C-M, Chan H-Y, Kuo C-J, Yang T-T, Wang J-P, Liu C-C, Hsieh MH, Lin Y-T, Chien Y-L, Kuo P-H, Shih Y-W, Yu S-L, Chen H-Y, Wang C, Chen WJ. Dysregulated miRNAs and downstream gene expression associated with poor treatment response in first-episode psychosis. Brain, Behavior, & Immunity – Health 2026; 52:101190.
(https://doi.org/10.1016/j.bbih.2026.101190)
相關連結1:神醫中心